Официальное опубликование правовых актов
ОФИЦИАЛЬНОЕ ОПУБЛИКОВАНИЕ
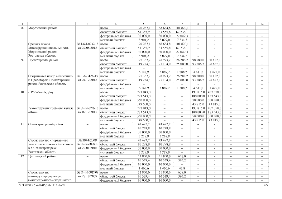
Постановление Правительства Ростовской области от 05.09.2018 № 560
"О внесении изменений в постановление Правительства Ростовской области от 25.09.2013 № 591"
Номер опубликования: 6100201809070011
Дата опубликования: 07.09.2018
Страница №65 из 71:
Увеличить