Официальное опубликование правовых актов
ОФИЦИАЛЬНОЕ ОПУБЛИКОВАНИЕ
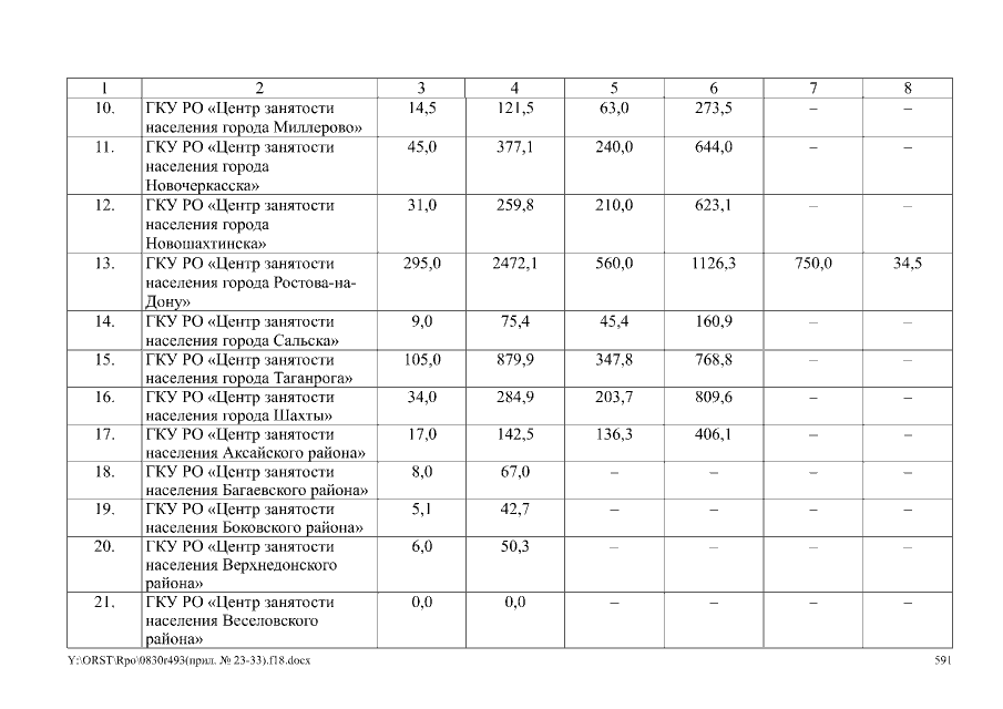
Распоряжение Правительства Ростовской области от 30.08.2018 № 493
"О прогнозных объемах финансирования и лимитах потребления топливно-энергетических ресурсов на 2019 год и плановый период 2020 и 2021 годов"
Номер опубликования: 6100201808310023
Дата опубликования: 31.08.2018
Страница №593 из 717:
Увеличить