Официальное опубликование правовых актов
ОФИЦИАЛЬНОЕ ОПУБЛИКОВАНИЕ
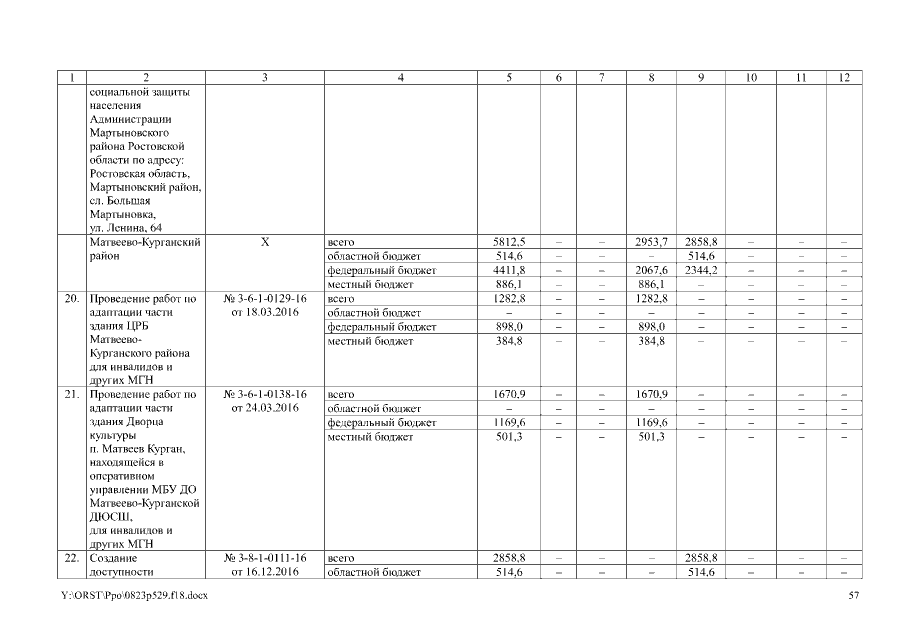
Постановление Правительства Ростовской области от 23.08.2018 № 529
"О внесении изменений в постановление Правительства Ростовской области от 25.09.2013 № 585"
Номер опубликования: 6100201808240004
Дата опубликования: 24.08.2018
Страница №57 из 82:
Увеличить