Официальное опубликование правовых актов
ОФИЦИАЛЬНОЕ ОПУБЛИКОВАНИЕ
Постановление Правительства Ростовской области от 01.08.2018 № 485
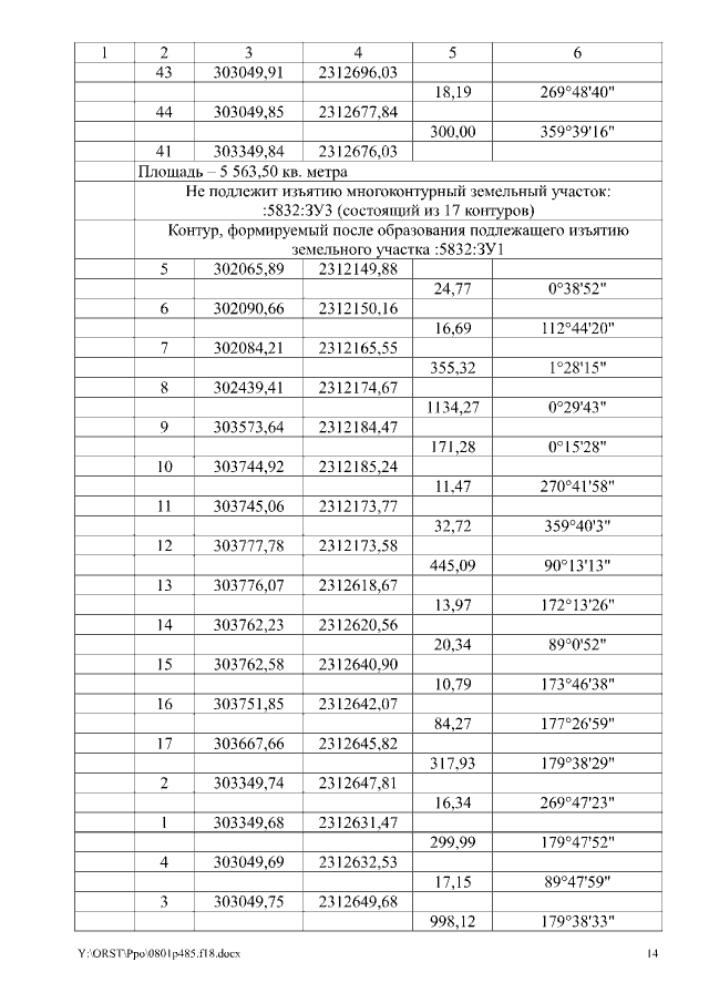
"Об утверждении проекта планировки и проекта межевания территории размещения линейного объекта "Реконструкция автомобильной дороги общего пользования регионального значения г. Ростов-на-Дону (от магистрали "Дон") – г. Ставрополь (до границы Ставропольского края) на участке км 154 + 700 – км 155 + 000 в Песчанокопском районе"
Номер опубликования: 6100201808030013
Дата опубликования: 03.08.2018
Страница №14 из 17:
Увеличить