Официальное опубликование правовых актов
ОФИЦИАЛЬНОЕ ОПУБЛИКОВАНИЕ
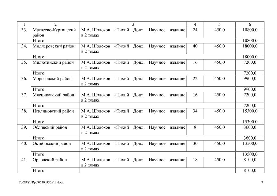
Постановление Правительства Ростовской области от 30.05.2018 № 356
"О передаче имущества, приобретенного за счет средств областного бюджета, из государственной собственности Ростовской области в муниципальную собственность"
Номер опубликования: 6100201806050012
Дата опубликования: 05.06.2018
Страница №7 из 9:
Увеличить