Официальное опубликование правовых актов
ОФИЦИАЛЬНОЕ ОПУБЛИКОВАНИЕ
Постановление Правительства Ростовской области от 30.05.2018 № 349
"О внесении изменений в постановление Правительства Ростовской области от 25.09.2013 № 591"
Номер опубликования: 6100201806050007
Дата опубликования: 05.06.2018
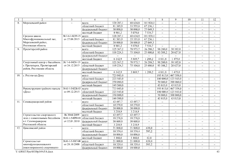
Страница №43 из 49:
Увеличить