Официальное опубликование правовых актов
ОФИЦИАЛЬНОЕ ОПУБЛИКОВАНИЕ
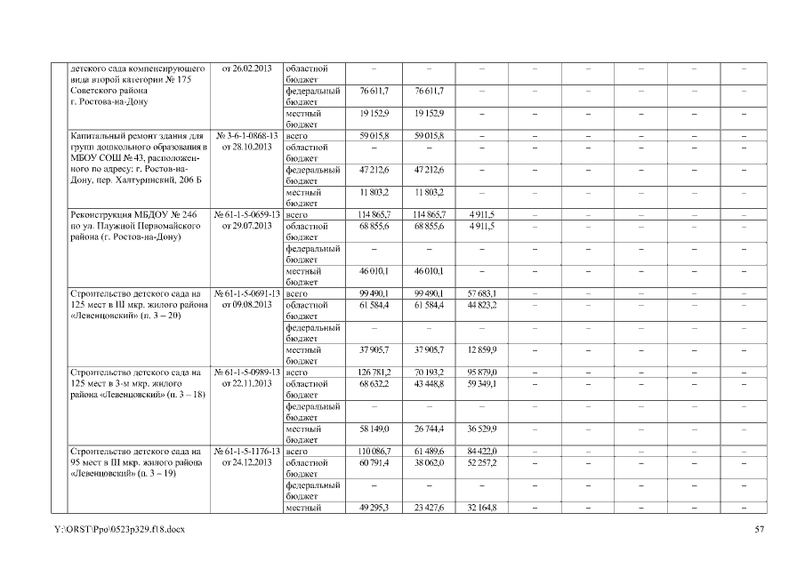
Постановление Правительства Ростовской области от 23.05.2018 № 329
"О внесении изменений в постановление Правительства Ростовской области от 25.09.2013 № 596"
Номер опубликования: 6100201805300006
Дата опубликования: 30.05.2018
Страница №57 из 62:
Увеличить