Официальное опубликование правовых актов
ОФИЦИАЛЬНОЕ ОПУБЛИКОВАНИЕ
Постановление Правительства Ростовской области от 16.05.2018 № 308
"О внесении изменений в постановление Правительства Ростовской области от 25.09.2013 № 587"
Номер опубликования: 6100201805210003
Дата опубликования: 21.05.2018
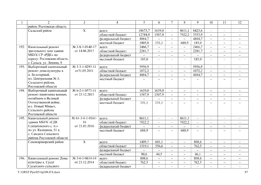
Страница №87 из 106:
Увеличить