Официальное опубликование правовых актов
ОФИЦИАЛЬНОЕ ОПУБЛИКОВАНИЕ
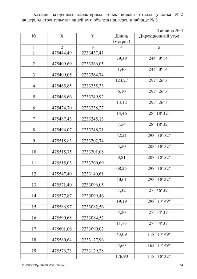
Постановление Правительства Ростовской области от 28.04.2018 № 257
"Об утверждении проекта изменений в проект планировки и проект межевания территории размещения линейного объекта "Строительство водовода от системы Шахтинско-Донского водовода (ШДВ) до Красносулинской промышленной зоны"
Номер опубликования: 6100201805040003
Дата опубликования: 04.05.2018
Страница №54 из 96:
Увеличить