Официальное опубликование правовых актов
ОФИЦИАЛЬНОЕ ОПУБЛИКОВАНИЕ
Постановление Правительства Ростовской области от 29.12.2017 № 926
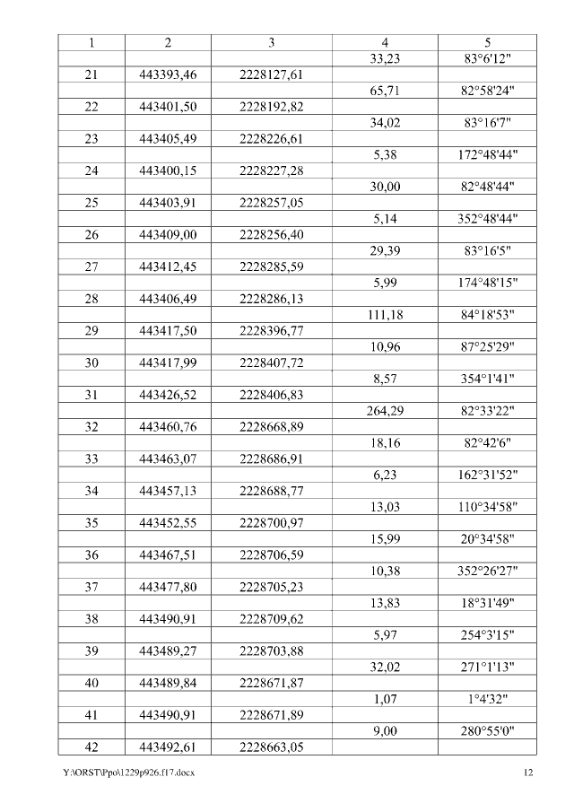
"Об утверждении проекта планировки и проекта межевания территории размещения линейного объекта "Реконструкция автодороги общего пользования регионального значения "Подъезд к Новочеркасску" на участке км 3 + 650 – км 5 + 400 в Аксайском районе"
Номер опубликования: 6100201712290031
Дата опубликования: 29.12.2017
Страница №12 из 88:
Увеличить