Официальное опубликование правовых актов
ОФИЦИАЛЬНОЕ ОПУБЛИКОВАНИЕ
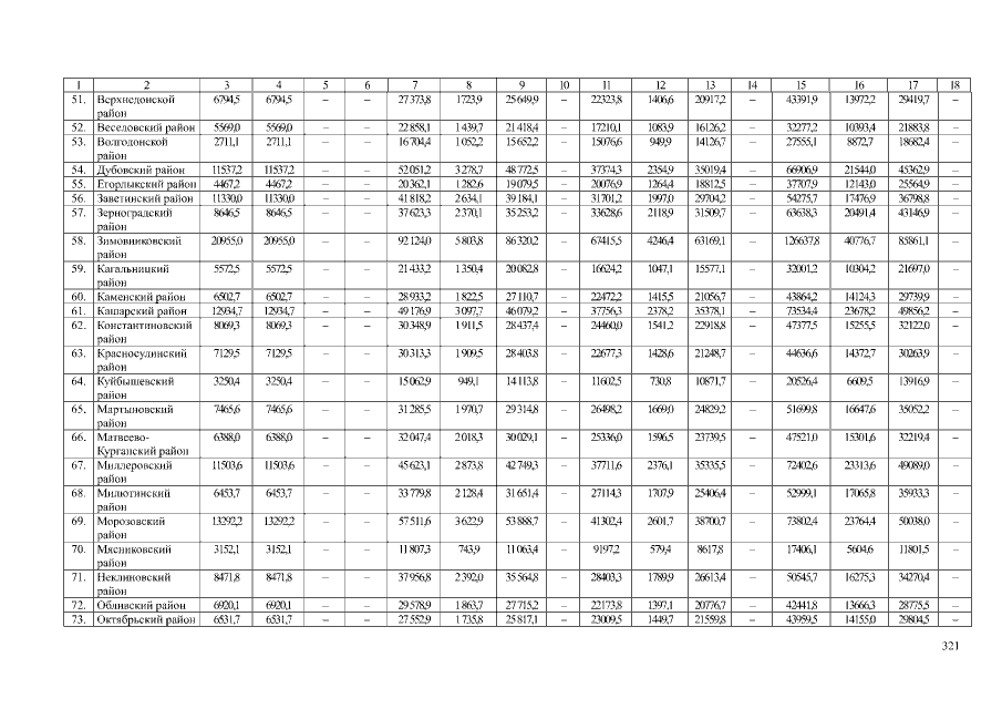
Постановление Правительства Ростовской области от 02.12.2015 № 150
"О внесении изменения в постановление Правительства Ростовской области от 25.09.2013 № 592"
Номер опубликования: 6100201512070007
Дата опубликования: 07.12.2015
Страница №321 из 349:
Увеличить