Официальное опубликование правовых актов
ОФИЦИАЛЬНОЕ ОПУБЛИКОВАНИЕ
Постановление Правительства Ростовской области от 26.11.2015 № 106
"О внесении изменений в постановление Правительства Ростовской области от 25.09.2013 № 597"
Номер опубликования: 6100201511300004
Дата опубликования: 30.11.2015
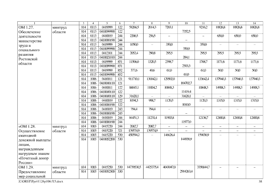
Страница №38 из 108:
Увеличить