Официальное опубликование правовых актов
ОФИЦИАЛЬНОЕ ОПУБЛИКОВАНИЕ
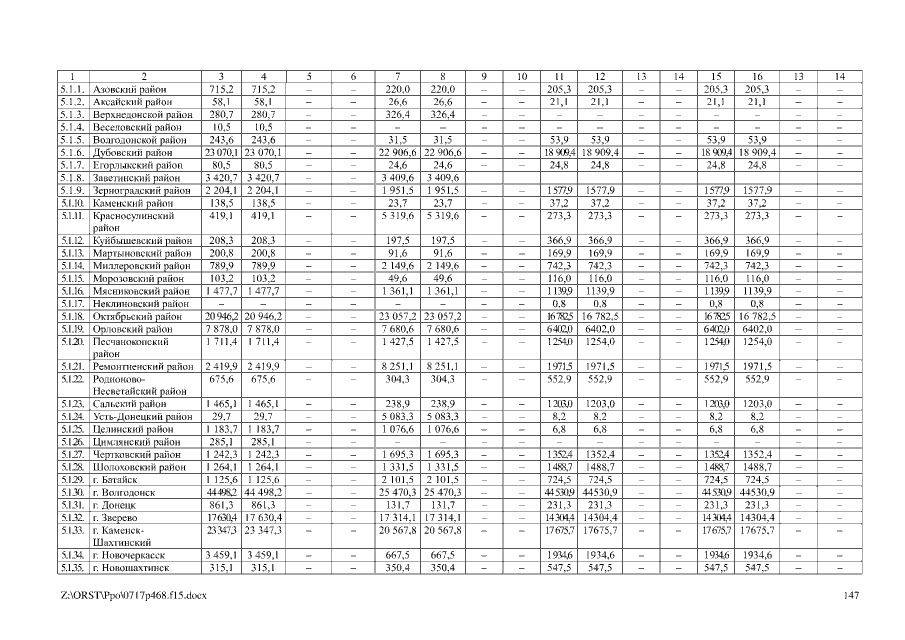
Постановление Правительства Ростовской области от 17.07.2015 № 468
"О внесении изменения в постановление Правительства Ростовской области от 25.09.2013 № 603"
Номер опубликования: 6100201507210007
Дата опубликования: 21.07.2015
Страница №147 из 195:
Увеличить