Официальное опубликование правовых актов
ОФИЦИАЛЬНОЕ ОПУБЛИКОВАНИЕ
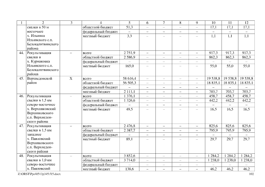
Постановление Правительства Ростовской области от 13.05.2015 № 345
"О внесении изменений в постановление Правительства Ростовской области от 25.09.2013 № 595"
Номер опубликования: 6100201505180011
Дата опубликования: 18.05.2015
Страница №102 из 135:
Увеличить