Официальное опубликование правовых актов
ОФИЦИАЛЬНОЕ ОПУБЛИКОВАНИЕ
Приказ Министерства природных ресурсов и экологии Псковской области от 19.12.2025 № 313
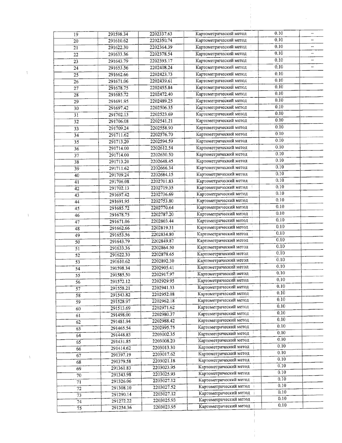
"О внесении изменений в приказ Комитета по природным ресурсам и экологии Псковской области от 12.11.2020 № 535 "Об установлении зон санитарной охраны источника питьевого, хозяйственно-бытового водоснабжения и технологического обеспечения"
(Зарегистрирован 19.12.2025 № 2780)
Номер опубликования: 6001202512260012
Дата опубликования: 26.12.2025
Страница №10 из 12:
Увеличить