Официальное опубликование правовых актов
ОФИЦИАЛЬНОЕ ОПУБЛИКОВАНИЕ
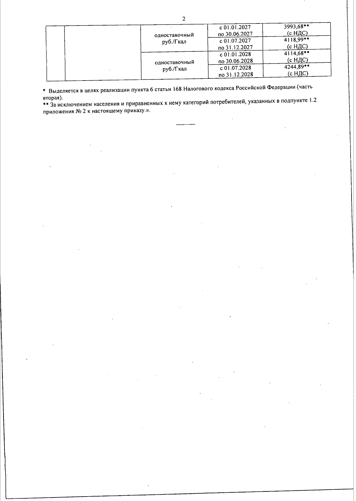
Приказ Министерства тарифов и энергетики Псковской области от 17.12.2025 № 266-т
"О внесении изменений в приказ Комитета по тарифам и энергетике Псковской области от 13.12.2023 № 214-т "Об установлении тарифов на тепловую энергию (мощность), поставляемую обществом с ограниченной ответственностью "Газпром теплоэнерго Псков" потребителям, на 2024 - 2028 годы"
(Зарегистрирован 18.12.2025 № 2698)
Номер опубликования: 6001202512220040
Дата опубликования: 22.12.2025
Страница №4 из 6:
Увеличить