Официальное опубликование правовых актов
ОФИЦИАЛЬНОЕ ОПУБЛИКОВАНИЕ
Приказ Министерства тарифов и энергетики Псковской области от 18.12.2025 № 270-в
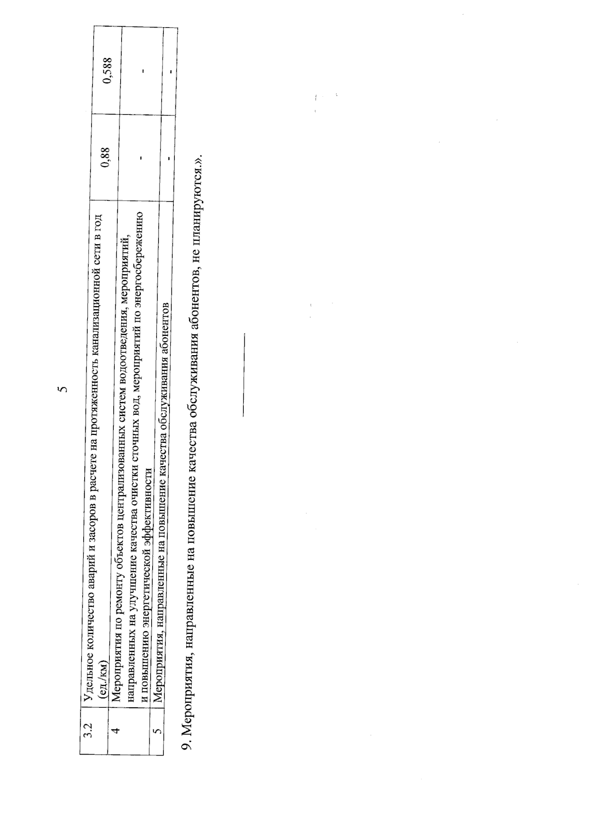
"О внесении изменений в приказ Комитета по тарифам и энергетике Псковской области от 22.11.2022 № 144-в "Об утверждении производственной программы, установлении долгосрочных параметров регулирования и тарифов в сфере водоотведения для общества с ограниченной ответственностью "Псковские коллекторные сети" на 2023 - 2027 гг."
(Зарегистрирован 18.12.2025 № 2727)
Номер опубликования: 6001202512220031
Дата опубликования: 22.12.2025
Страница №7 из 10:
Увеличить