Официальное опубликование правовых актов
ОФИЦИАЛЬНОЕ ОПУБЛИКОВАНИЕ
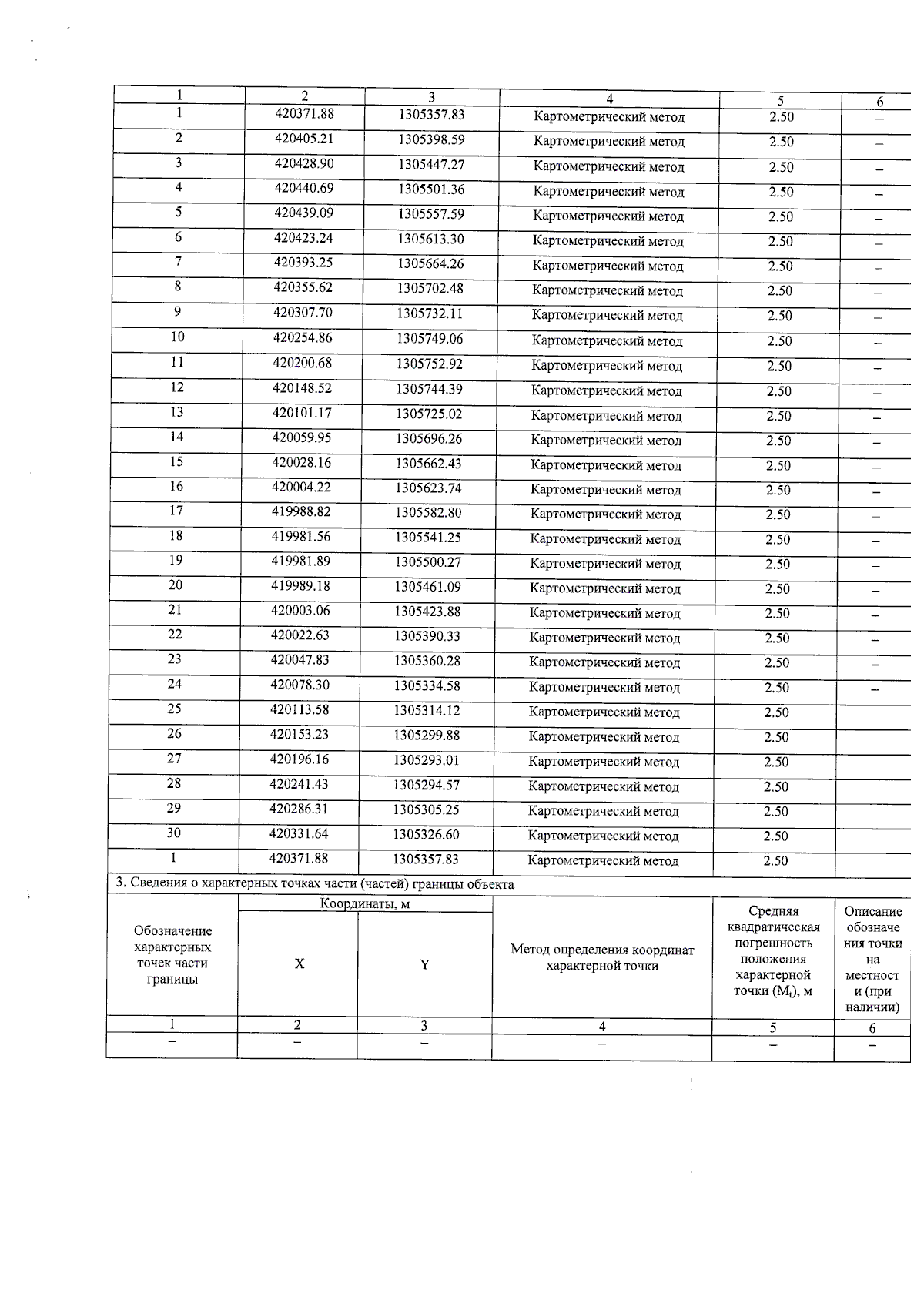
Приказ Комитета по природным ресурсам и экологии Псковской области от 27.05.2025 № 223
"Об установлении зон санитарной охраны источника питьевого и хозяйственно-бытового водоснабжения"
(Зарегистрирован 28.05.2025 № 2159)
Номер опубликования: 6001202505300007
Дата опубликования: 30.05.2025
Страница №8 из 8:
Увеличить