Официальное опубликование правовых актов
ОФИЦИАЛЬНОЕ ОПУБЛИКОВАНИЕ
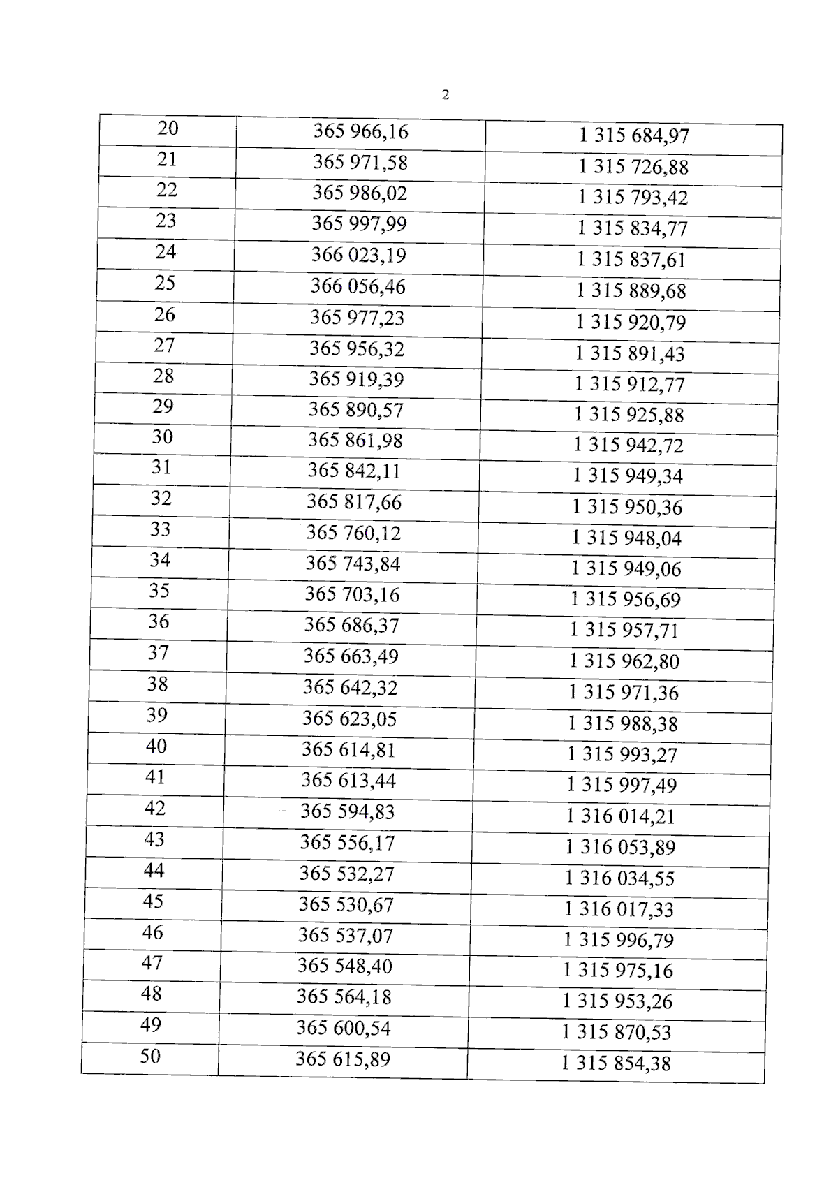
Приказ Комитета по охране объектов культурного наследия Псковской области от 31.03.2025 № 221
"Об утверждении границ территории объекта культурного наследия регионального значения "Усадебный парк Дондуковых-Корсаковых", пер. пол. и конец XIX в., расположенный по адресу: Псковская область, Опочецкий район, д. Глубокое, Глубоковская волость"
(Зарегистрирован 31.03.2025 № 2002)
Номер опубликования: 6001202504040015
Дата опубликования: 04.04.2025
Страница №9 из 13:
Увеличить