Официальное опубликование правовых актов
ОФИЦИАЛЬНОЕ ОПУБЛИКОВАНИЕ
Приказ Комитета по тарифам и энергетике Псковской области от 18.12.2024 № 260-т
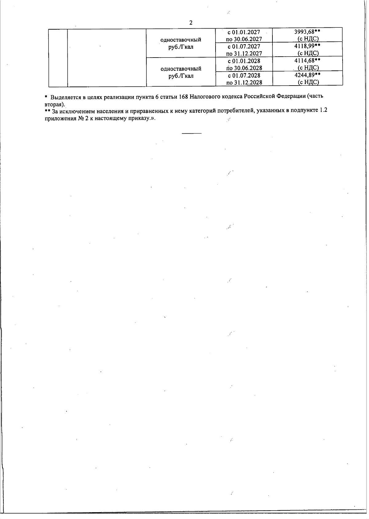
"О внесении изменений в приказ Комитета по тарифам и энергетике Псковской области от 13.12.2023 № 214-т "Об установлении тарифов на тепловую энергию (мощность), поставляемую обществом с ограниченной ответственностью "Газпром теплоэнерго Псков" потребителям, на 2024 - 2028 годы"
(Зарегистрирован 19.12.2024 № 1632)
Номер опубликования: 6001202412240054
Дата опубликования: 24.12.2024
Страница №4 из 6:
Увеличить