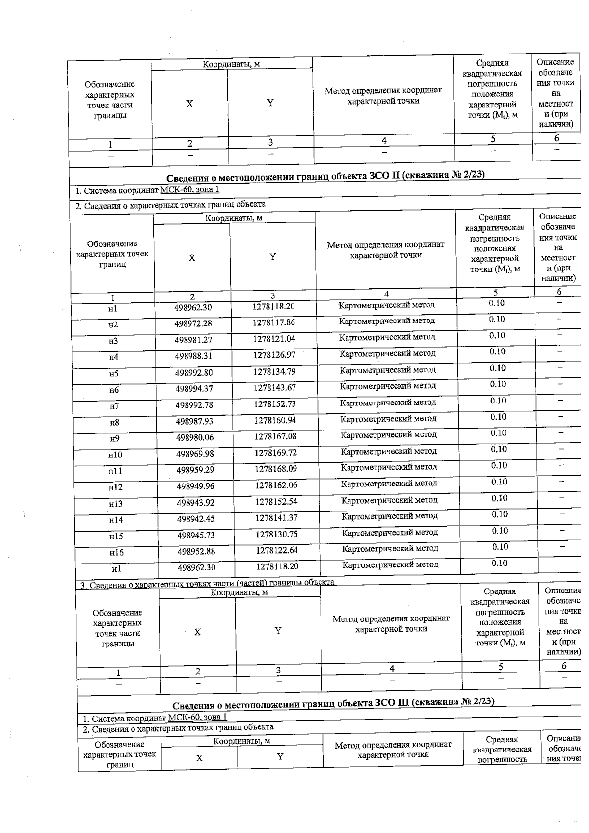
Приказ Комитета по природным ресурсам и экологии Псковской области от 16.10.2024 № 532
"Об установлении зон санитарной охраны источника питьевого и хозяйственно-бытового водоснабжения"
(Зарегистрирован 17.10.2024 № 1325)
"Об установлении зон санитарной охраны источника питьевого и хозяйственно-бытового водоснабжения"
(Зарегистрирован 17.10.2024 № 1325)
Номер опубликования: 6001202410230002
Дата опубликования:
23.10.2024
