Официальное опубликование правовых актов
ОФИЦИАЛЬНОЕ ОПУБЛИКОВАНИЕ
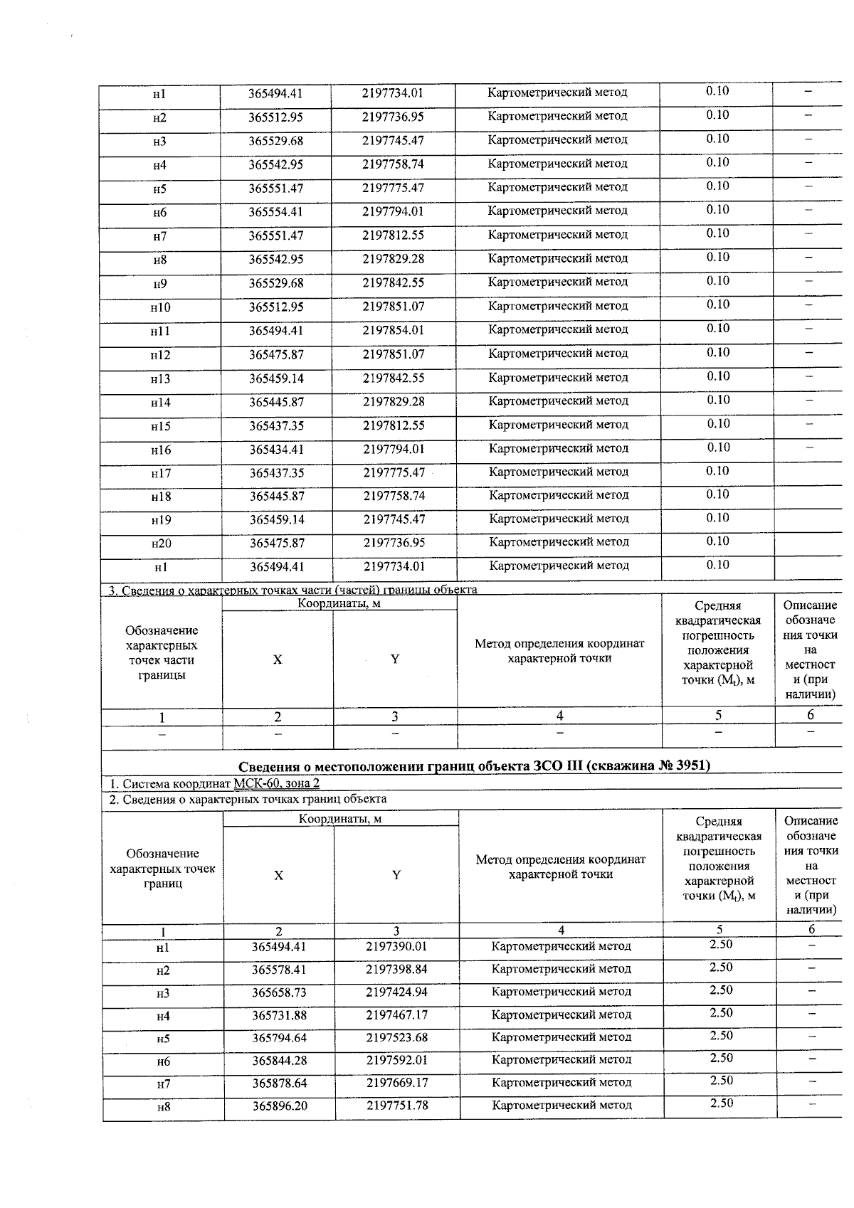
Приказ Комитета по природным ресурсам и экологии Псковской области от 12.09.2024 № 467
"Об установлении зон санитарной охраны источника питьевого и хозяйственно-бытового водоснабжения"
(Зарегистрирован 13.09.2024 № 1237)
Номер опубликования: 6001202409200001
Дата опубликования: 20.09.2024
Страница №7 из 8:
Увеличить