Официальное опубликование правовых актов
ОФИЦИАЛЬНОЕ ОПУБЛИКОВАНИЕ
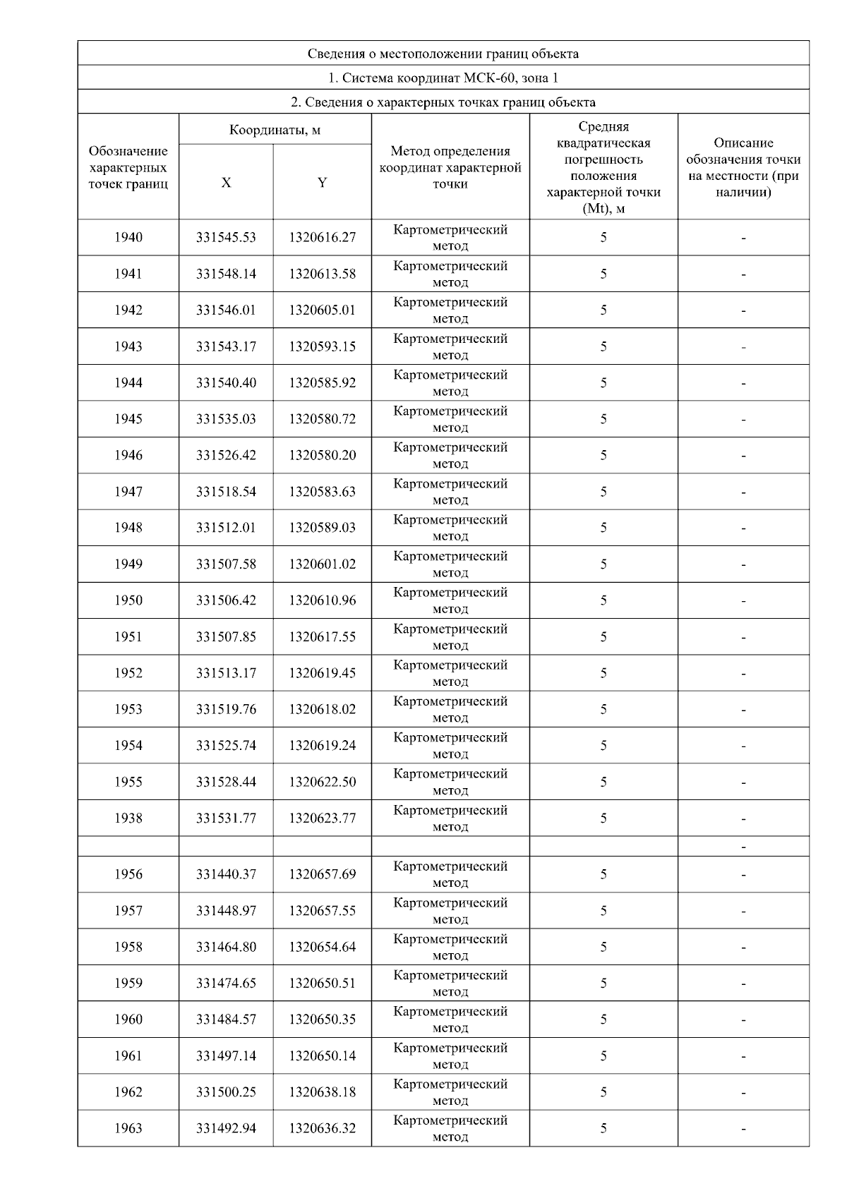
Приказ Комитета по управлению государственным имуществом Псковской области от 03.07.2024 № 4186
"О внесении изменений в Правила землепользования и застройки сельского поселения "Красноармейская волость" Себежского района Псковской области"
(Зарегистрирован 03.07.2024 № 1140)
Номер опубликования: 6001202407080005
Дата опубликования: 08.07.2024
Страница №172 из 635:
Увеличить