Официальное опубликование правовых актов
ОФИЦИАЛЬНОЕ ОПУБЛИКОВАНИЕ
Приказ Комитета по тарифам и энергетике Псковской области от 21.11.2023 № 91-в
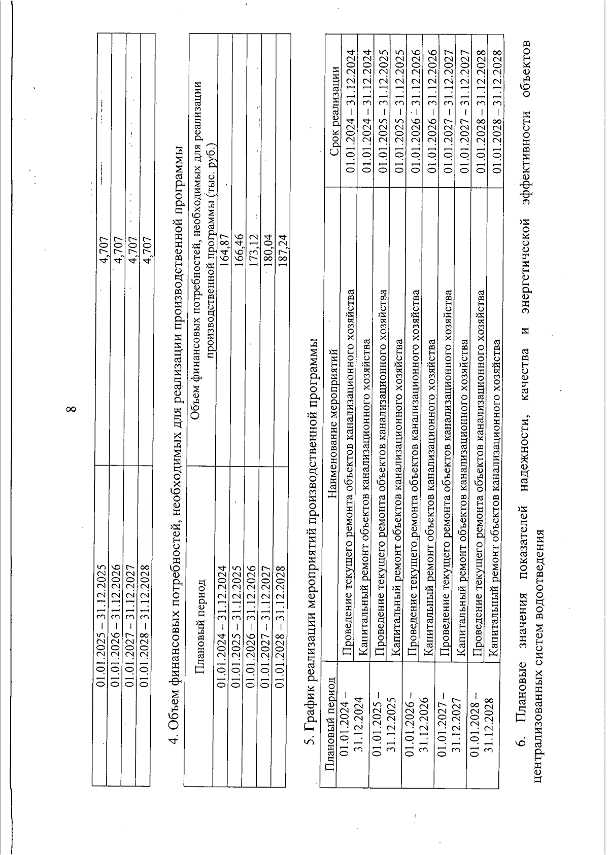
"Об утверждении производственных программ, установлении долгосрочных параметров регулирования и тарифов в сфере холодного водоснабжения и водоотведения для муниципального предприятия Бежаницкого района "Жилкоммунсервис" на 2024 - 2028 годы"
(Зарегистрирован 22.11.2023 № 606)
Номер опубликования: 6001202311240007
Дата опубликования: 24.11.2023
Страница №10 из 21:
Увеличить