Официальное опубликование правовых актов
ОФИЦИАЛЬНОЕ ОПУБЛИКОВАНИЕ
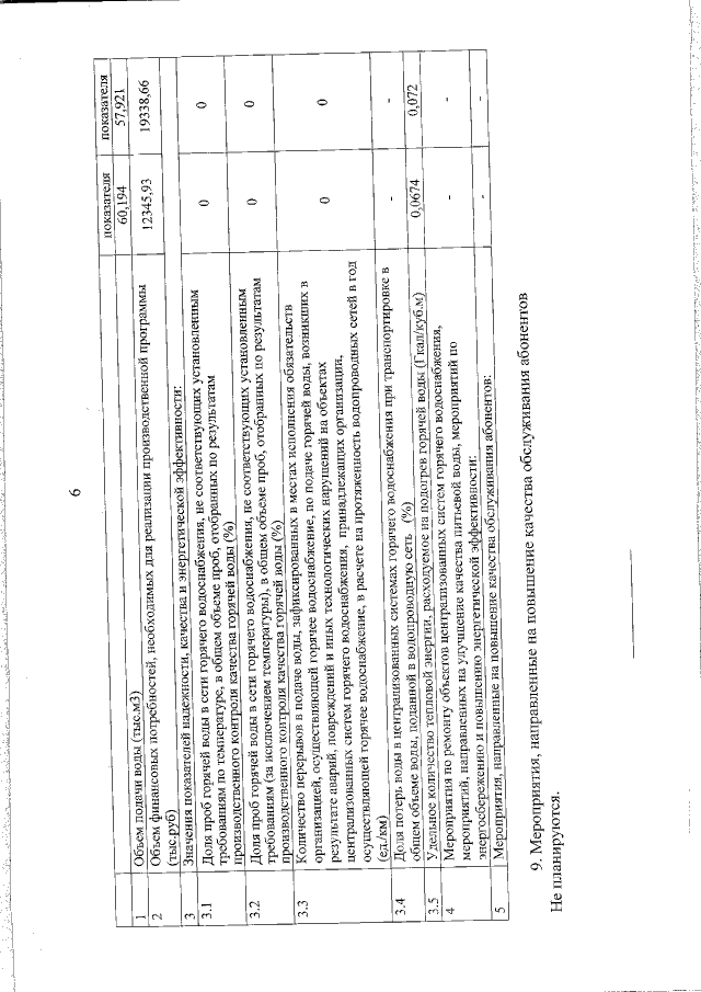
Приказ Государственного комитета Псковской области по тарифам и энергетике от 19.12.2018 № 223-в
"Об утверждении производственной программы, установлении долгосрочных параметров регулирования и тарифов на горячую воду (горячее водоснабжение) с использованием закрытой системы горячего водоснабжения на 2019-2023 гг."
Номер опубликования: 6001201812250012
Дата опубликования: 25.12.2018
Страница №8 из 12:
Увеличить