Официальное опубликование правовых актов
ОФИЦИАЛЬНОЕ ОПУБЛИКОВАНИЕ
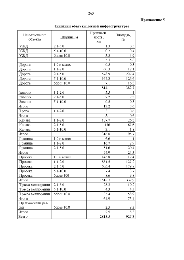
Приказ Государственного комитета Псковской области по природопользованию и охране окружающей среды от 18.12.2018 № 986 "Об утверждении лесохозяйственного регламента Плюсского лесничества Псковской области"
Номер опубликования: 6001201812200015
Дата опубликования: 20.12.2018
Страница №263 из 266:
Увеличить