Официальное опубликование правовых актов
ОФИЦИАЛЬНОЕ ОПУБЛИКОВАНИЕ
Приказ Государственного комитета Псковской области по тарифам и энергетике от 11.12.2018 № 171-в
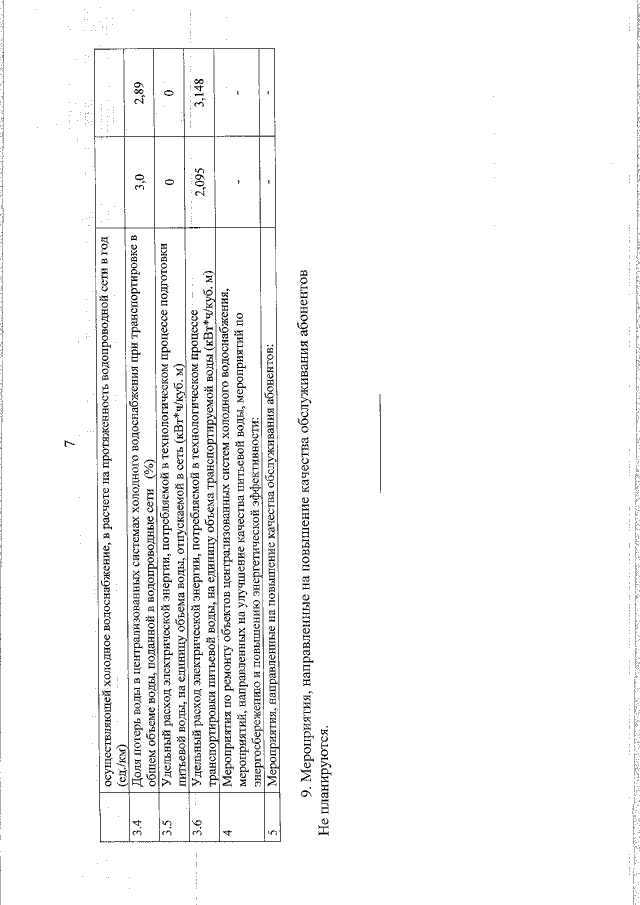
"Об утверждении производственной программы, установлении долгосрочных параметров регулирования и тарифов в сфере холодного водоснабжения на 2019-2023 гг."
Номер опубликования: 6001201812170008
Дата опубликования: 17.12.2018
Страница №9 из 13:
Увеличить