Официальное опубликование правовых актов
ОФИЦИАЛЬНОЕ ОПУБЛИКОВАНИЕ
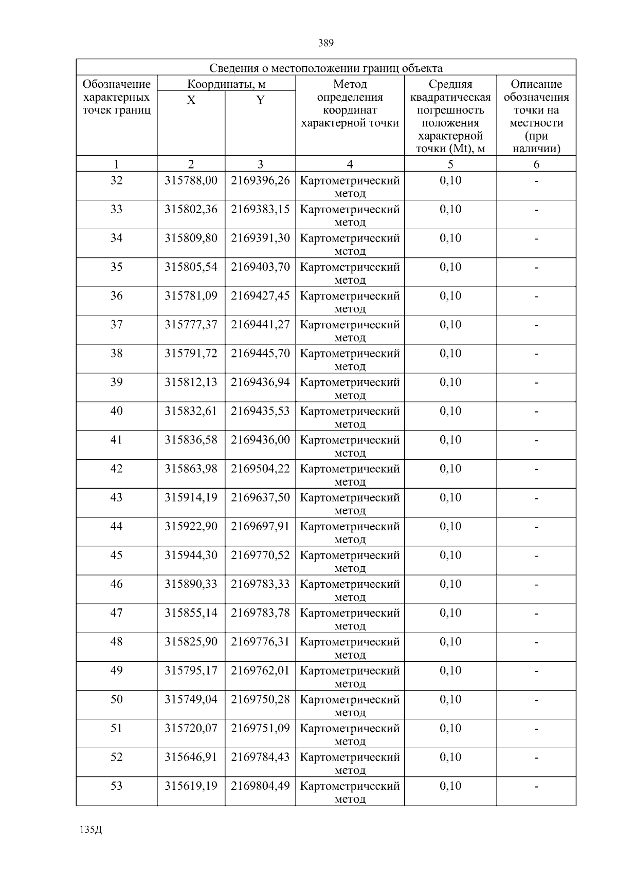
Постановление Правительства Псковской области от 17.06.2025 № 209
"О внесении изменений в Схему территориального планирования муниципального образования "Невельский район" Псковской области"
Номер опубликования: 6000202506240005
Дата опубликования: 24.06.2025
Страница №393 из 1118:
Увеличить