Официальное опубликование правовых актов
ОФИЦИАЛЬНОЕ ОПУБЛИКОВАНИЕ
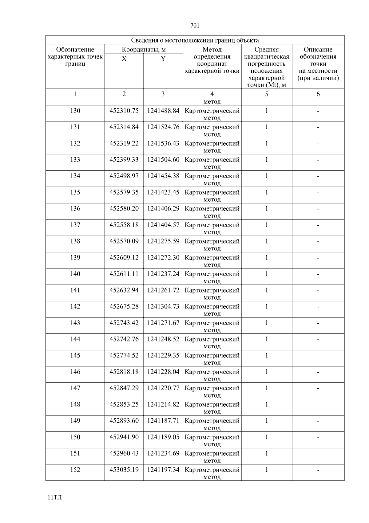
Постановление Правительства Псковской области от 11.06.2025 № 208
"О внесении изменения в Схему территориального планирования муниципального образования "Палкинский район" Псковской области"
Номер опубликования: 6000202506180001
Дата опубликования: 18.06.2025
Страница №703 из 952:
Увеличить