Официальное опубликование правовых актов
ОФИЦИАЛЬНОЕ ОПУБЛИКОВАНИЕ
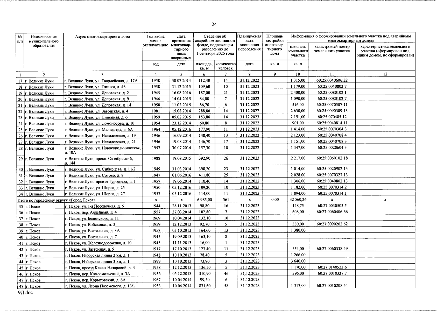
Постановление Правительства Псковской области от 27.01.2025 № 19
"О внесении изменения в областную адресную программу "Переселение граждан из аварийного жилищного фонда в 2019-2025 годах"
Номер опубликования: 6000202501280001
Дата опубликования: 28.01.2025
Страница №26 из 39:
Увеличить