Официальное опубликование правовых актов
ОФИЦИАЛЬНОЕ ОПУБЛИКОВАНИЕ
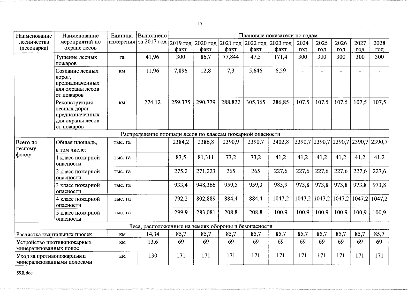
Указ Губернатора Псковской области от 27.12.2024 № 317-УГ
"О внесении изменений в Лесной план Псковской области на 2019-2028 годы"
Номер опубликования: 6000202412280009
Дата опубликования: 28.12.2024
Страница №120 из 141:
Увеличить