Официальное опубликование правовых актов
ОФИЦИАЛЬНОЕ ОПУБЛИКОВАНИЕ
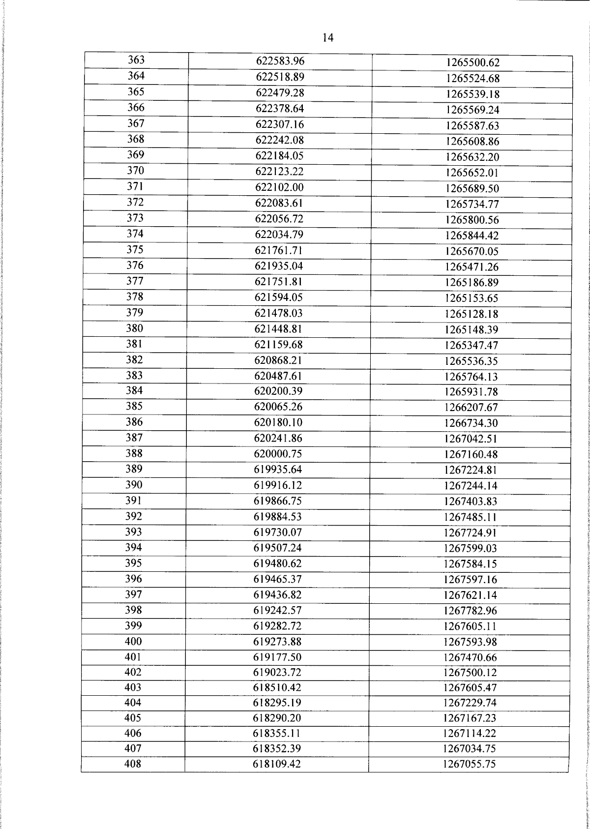
Закон Псковской области от 20.12.2024 № 2557-ОЗ
"О преобразовании муниципальных образований, входящих в состав Гдовского муниципального района Псковской области"
Номер опубликования: 6000202412240003
Дата опубликования: 24.12.2024
Страница №21 из 123:
Увеличить