Официальное опубликование правовых актов
ОФИЦИАЛЬНОЕ ОПУБЛИКОВАНИЕ
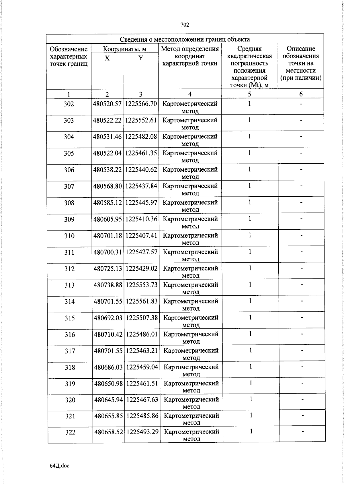
Постановление Правительства Псковской области от 19.06.2024 № 212
"О внесении изменений в Генеральный план сельского поселения "Лавровская волость" Печорского района Псковской области"
Номер опубликования: 6000202406240004
Дата опубликования: 24.06.2024
Страница №704 из 935:
Увеличить