Официальное опубликование правовых актов
ОФИЦИАЛЬНОЕ ОПУБЛИКОВАНИЕ
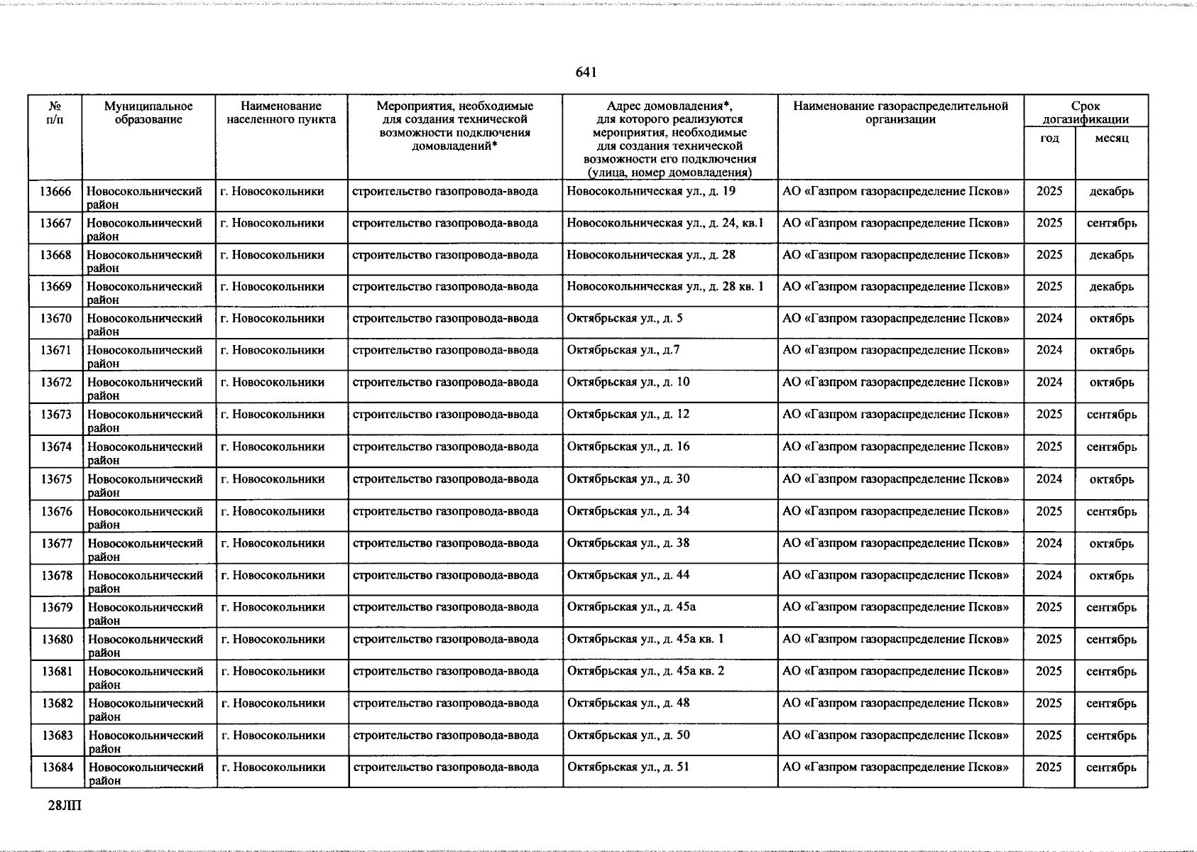
Указ Губернатора Псковской области от 13.06.2024 № 104-УГ
"О внесении изменений в Региональную программу газификации Псковской области на 2017-2026 годы"
Номер опубликования: 6000202406190008
Дата опубликования: 19.06.2024
Страница №657 из 1224:
Увеличить