Официальное опубликование правовых актов
ОФИЦИАЛЬНОЕ ОПУБЛИКОВАНИЕ
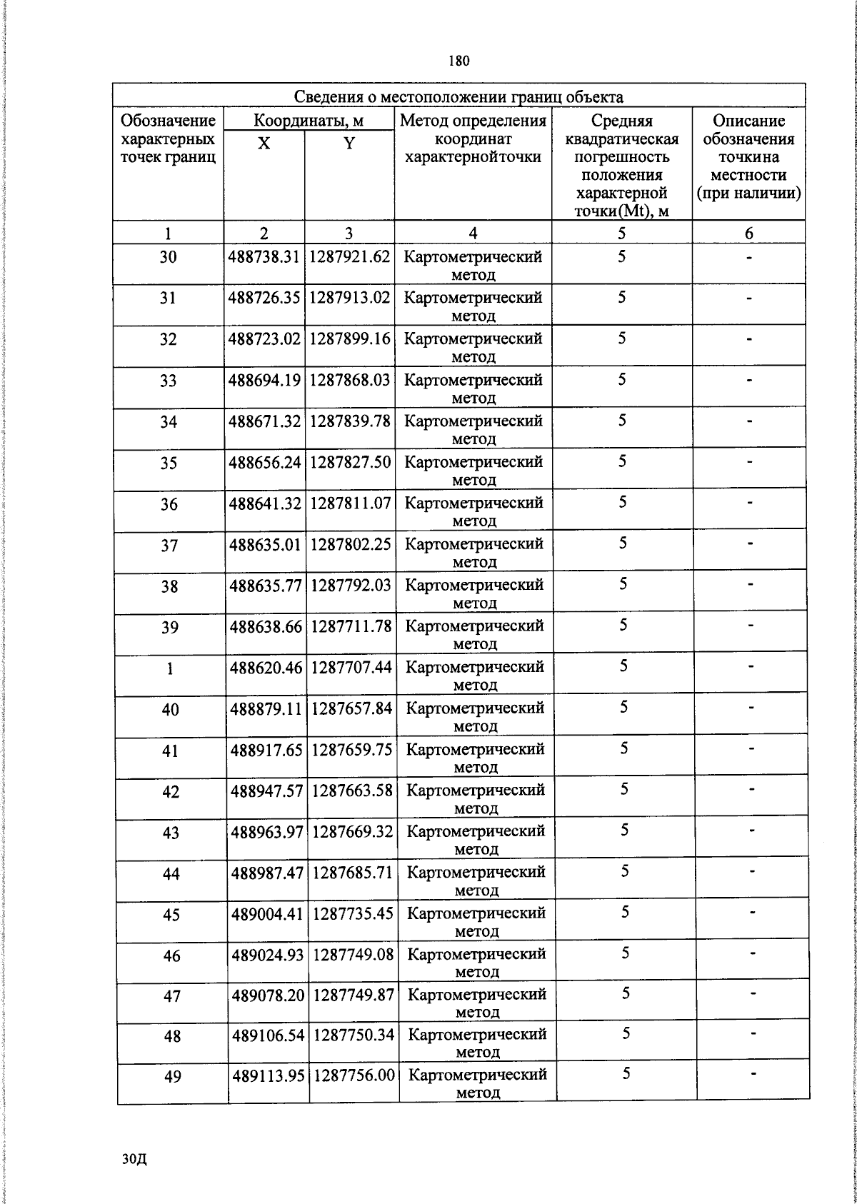
Постановление Правительства Псковской области от 15.03.2024 № 64
"Об утверждении Генерального плана сельского поселения "Краснопрудская волость" Псковского района Псковской области"
Номер опубликования: 6000202403190001
Дата опубликования: 19.03.2024
Страница №182 из 259:
Увеличить