Официальное опубликование правовых актов
ОФИЦИАЛЬНОЕ ОПУБЛИКОВАНИЕ
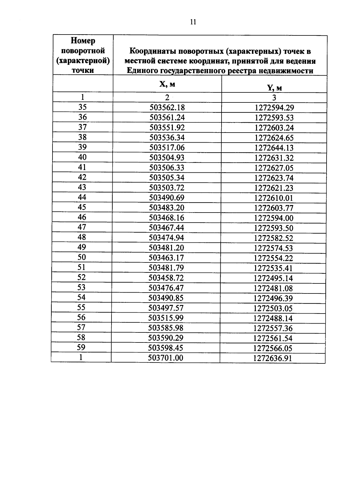
Постановление Псковского областного Собрания депутатов от 24.10.2023 № 589
"О границах зон охраны объекта культурного наследия регионального значения "Часовня Анастасьевская", ХХ в., и требованиях к градостроительным регламентам в границах данных зон"
Номер опубликования: 6000202310250018
Дата опубликования: 25.10.2023
Страница №13 из 19:
Увеличить