Официальное опубликование правовых актов
ОФИЦИАЛЬНОЕ ОПУБЛИКОВАНИЕ
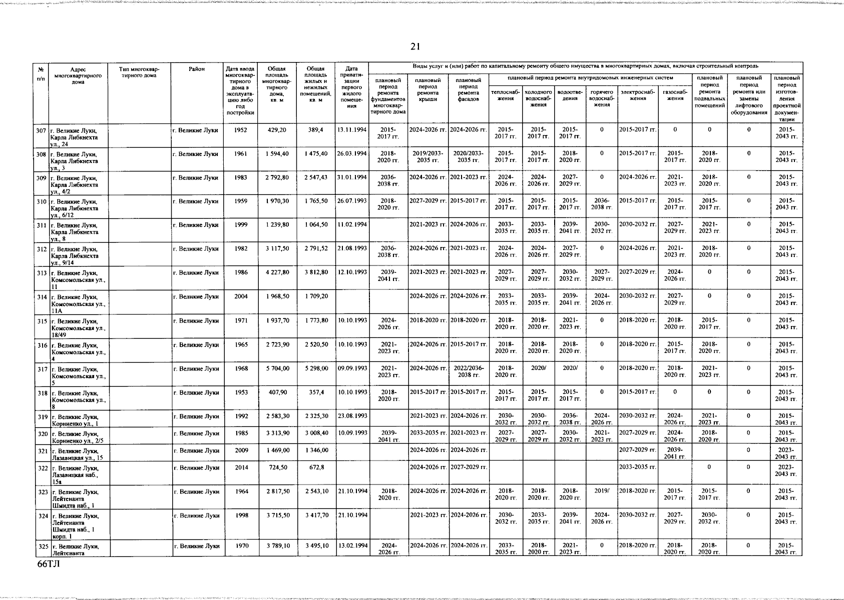
Постановление Правительства Псковской области от 08.09.2023 № 361
"О внесении изменения в Региональную программу капитального ремонта общего имущества в многоквартирных домах, расположенных на территории Псковской области, на 2014-2043 годы"
Номер опубликования: 6000202309140001
Дата опубликования: 14.09.2023
Страница №22 из 227:
Увеличить