Официальное опубликование правовых актов
ОФИЦИАЛЬНОЕ ОПУБЛИКОВАНИЕ
Постановление Псковского областного Собрания депутатов от 30.11.2017 № 408
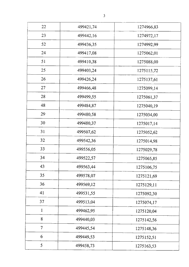
"О внесении изменений в приложение 1 к постановлению Псковского областного Собрания депутатов "Об утверждении границ объединенной зоны охраны, особых режимов использования земель и требований к градостроительным регламентам в границах территорий данных зон объектов культурного наследия регионального значения "Дом жилой доходный", нач. XX в., г. Псков, ул. Речная, д. 14 и "Дом жилой", нач. XX в., г. Псков, ул. Речная, д. 14-а"
Номер опубликования: 6000201712050007
Дата опубликования: 05.12.2017
Страница №3 из 5:
Увеличить