Официальное опубликование правовых актов
ОФИЦИАЛЬНОЕ ОПУБЛИКОВАНИЕ
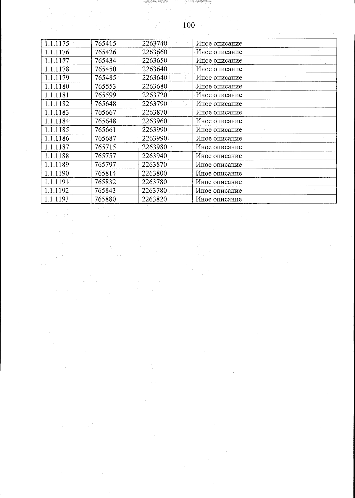
Приказ Министерства природных ресурсов, лесного хозяйства и экологии Пермского края от 30.07.2025 № 30-01-02-833
"О внесении изменений в приказ Министерства природных ресурсов, лесного хозяйства и экологии Пермского края от 27 сентября 2016 г. № СЭД-30-01-02-1708 "Об утверждении положений особо охраняемых природных территорий регионального значения Красновишерского муниципального района Пермского края"
(Зарегистрирован 30.07.2025 № 30-01-02-833)
Номер опубликования: 5901202507310001
Дата опубликования: 31.07.2025
Страница №101 из 103:
Увеличить