Официальное опубликование правовых актов
ОФИЦИАЛЬНОЕ ОПУБЛИКОВАНИЕ
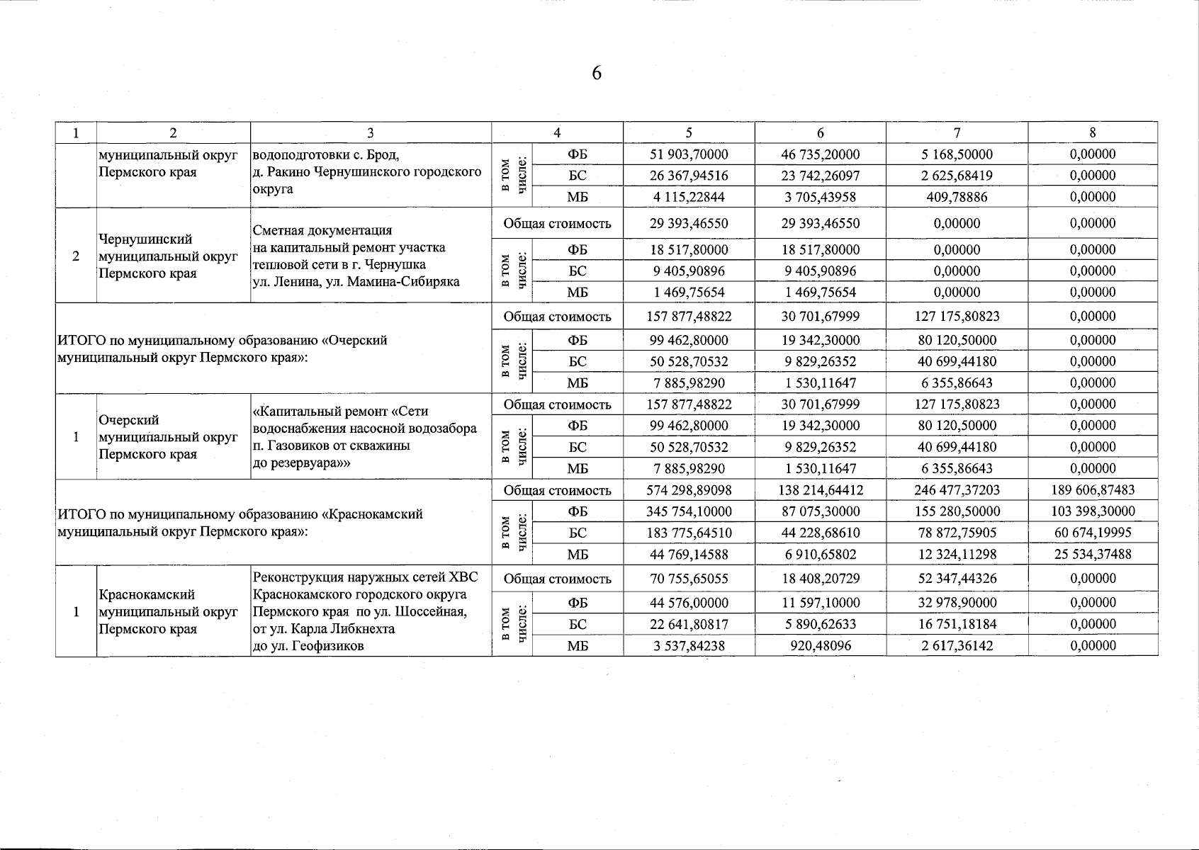
Постановление Правительства Пермского края от 05.12.2025 № 1012-п
"О внесении изменений в Программу модернизации коммунальной инфраструктуры Пермского края, утвержденную постановлением Правительства Пермского края от 04 марта 2025 г. № 168-п"
Номер опубликования: 5900202512080001
Дата опубликования: 08.12.2025
Страница №15 из 25:
Увеличить