Официальное опубликование правовых актов
ОФИЦИАЛЬНОЕ ОПУБЛИКОВАНИЕ
Постановление Правительства Пермского края от 02.12.2025 № 989-п
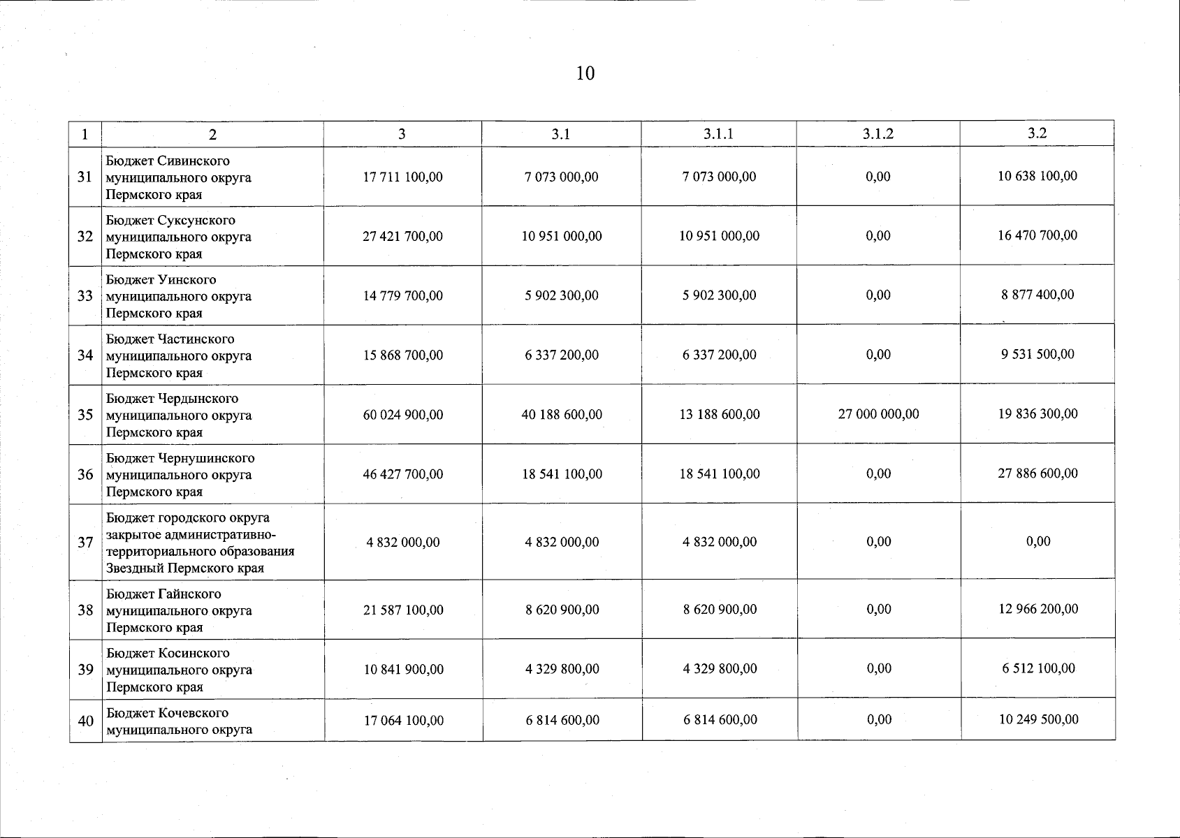
"О внесении изменений в постановление Правительства Пермского края от 23 апреля 2020 г. № 259-п "Об утверждении распределения субсидий бюджетам муниципальных образований Пермского края на проектирование и строительство (реконструкцию), капитальный ремонт и ремонт автомобильных дорог общего пользования местного значения, находящихся на территории Пермского края, в 2020 – 2027 годах"
Номер опубликования: 5900202512030019
Дата опубликования: 03.12.2025
Страница №12 из 18:
Увеличить