Официальное опубликование правовых актов
ОФИЦИАЛЬНОЕ ОПУБЛИКОВАНИЕ
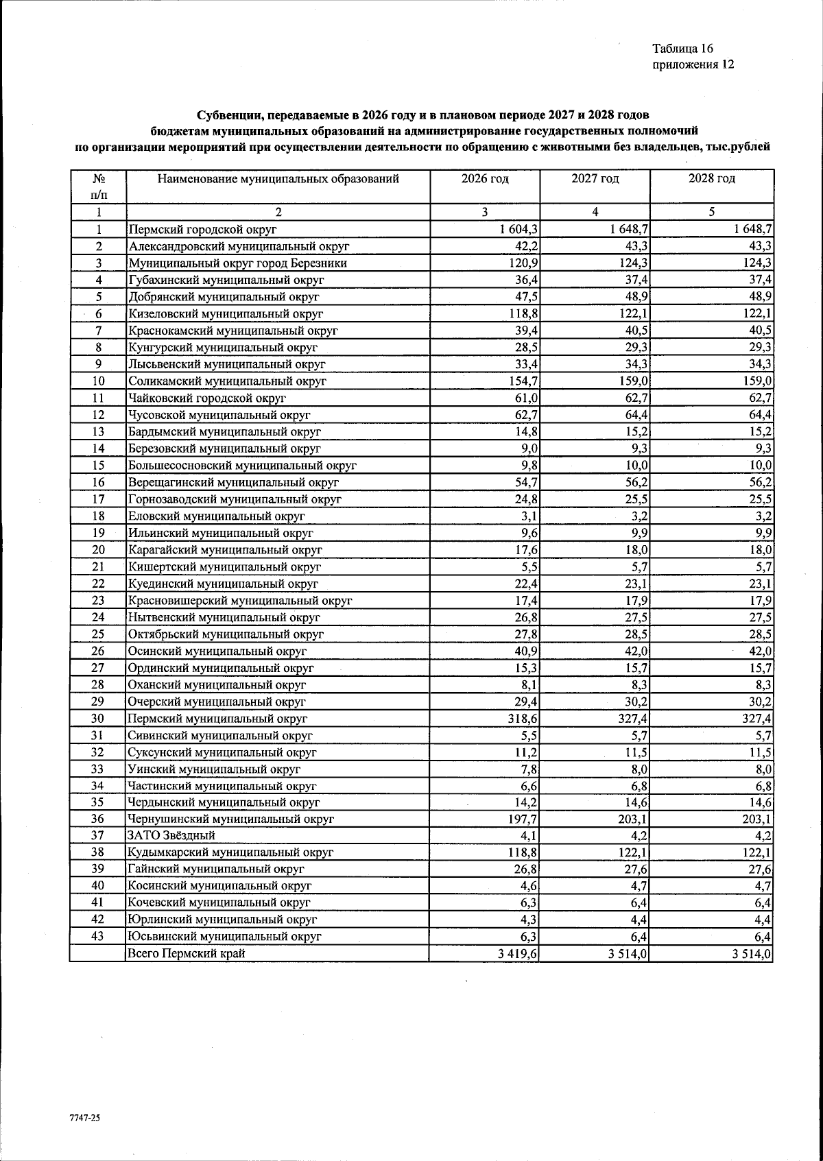
Закон Пермского края от 03.12.2025 № 474-ПК
"О бюджете Пермского края на 2026 год и на плановый период 2027 и 2028 годов"
Номер опубликования: 5900202512030001
Дата опубликования: 03.12.2025
Страница №288 из 345:
Увеличить