Официальное опубликование правовых актов
ОФИЦИАЛЬНОЕ ОПУБЛИКОВАНИЕ
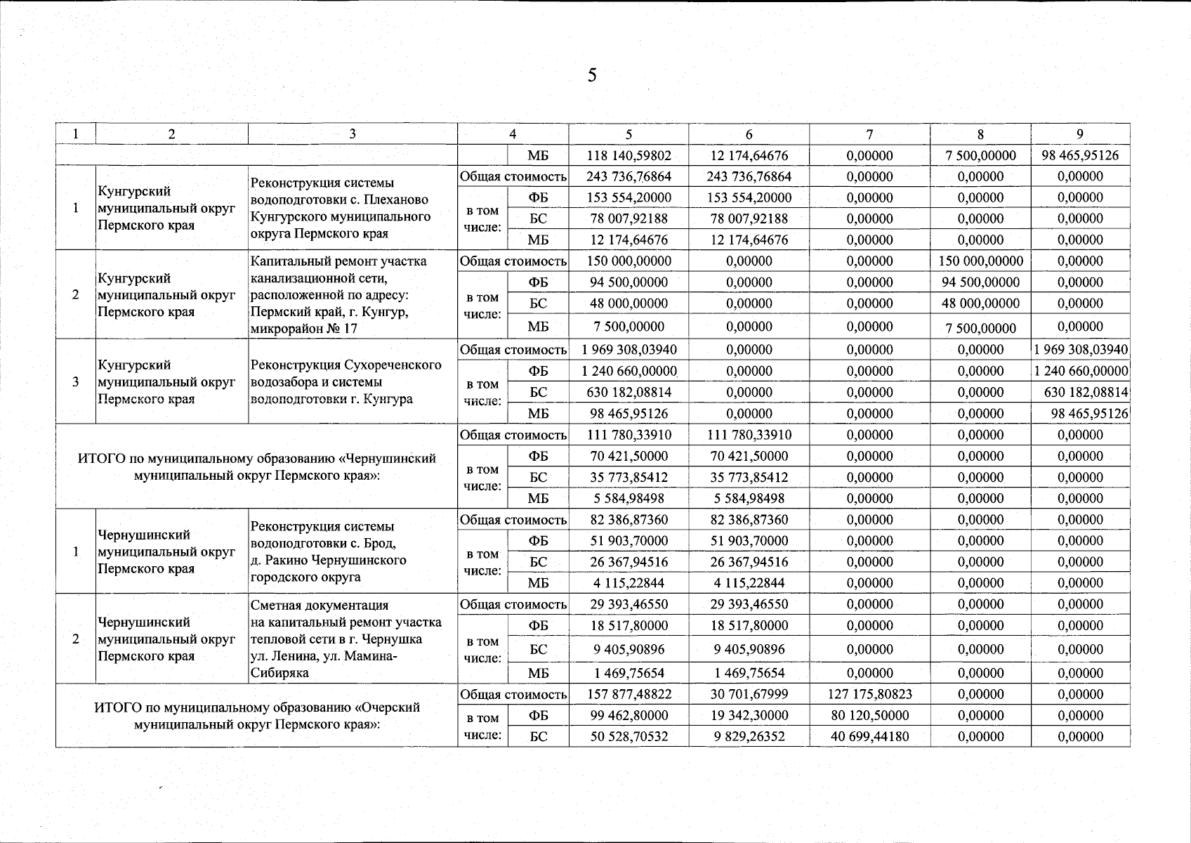
Постановление Правительства Пермского края от 30.10.2025 № 857-п
"О внесении изменений в Программу модернизации коммунальной инфраструктуры Пермского края, утвержденную постановлением Правительства Пермского края от 04 марта 2025 г. № 168-п"
Номер опубликования: 5900202510310002
Дата опубликования: 31.10.2025
Страница №13 из 23:
Увеличить