Официальное опубликование правовых актов
ОФИЦИАЛЬНОЕ ОПУБЛИКОВАНИЕ
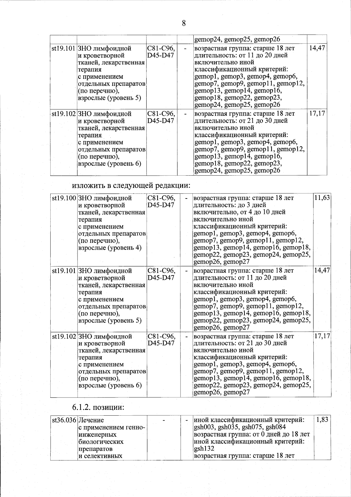
Постановление Правительства Пермского края от 28.10.2025 № 856-п
"О внесении изменений в Территориальную программу государственных гарантий бесплатного оказания гражданам медицинской помощи на 2025 год и на плановый период 2026 и 2027 годов, утвержденную постановлением Правительства Пермского края от 31 января 2025 г. № 72-п"
Номер опубликования: 5900202510290001
Дата опубликования: 29.10.2025
Страница №9 из 129:
Увеличить