Официальное опубликование правовых актов
ОФИЦИАЛЬНОЕ ОПУБЛИКОВАНИЕ
Постановление Правительства Пермского края от 01.10.2025 № 784-п
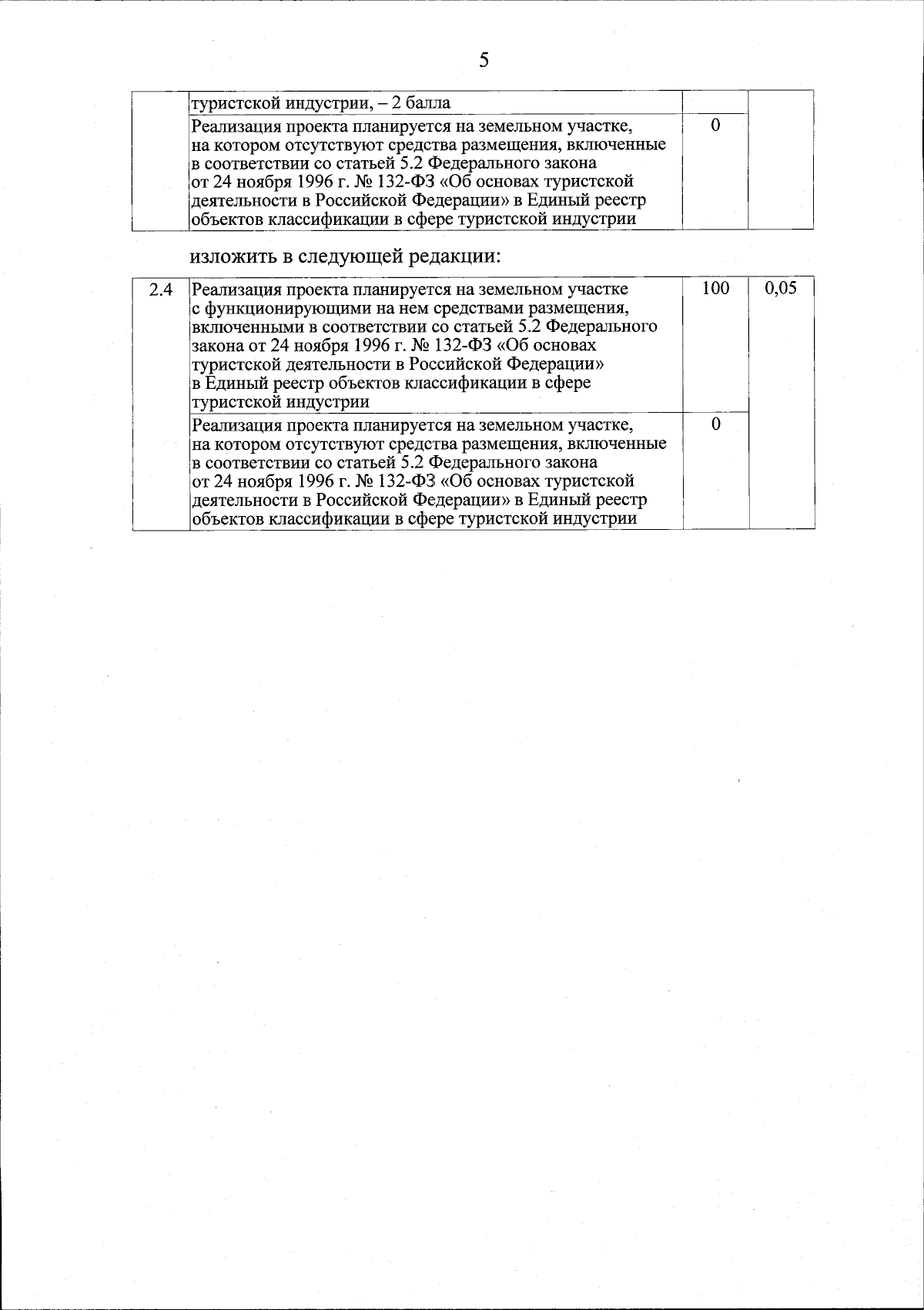
"О внесении изменений в Порядок предоставления и расходования грантов в форме субсидий из бюджета Пермского края, источником финансового обеспечения которых в том числе являются средства федерального бюджета, на поддержку общественных инициатив, направленных на развитие туристской инфраструктуры, утвержденный постановлением Правительства Пермского края от 31 мая 2024 г. № 331-п"
Номер опубликования: 5900202510020023
Дата опубликования: 02.10.2025
Страница №7 из 7:
Увеличить