Официальное опубликование правовых актов
ОФИЦИАЛЬНОЕ ОПУБЛИКОВАНИЕ
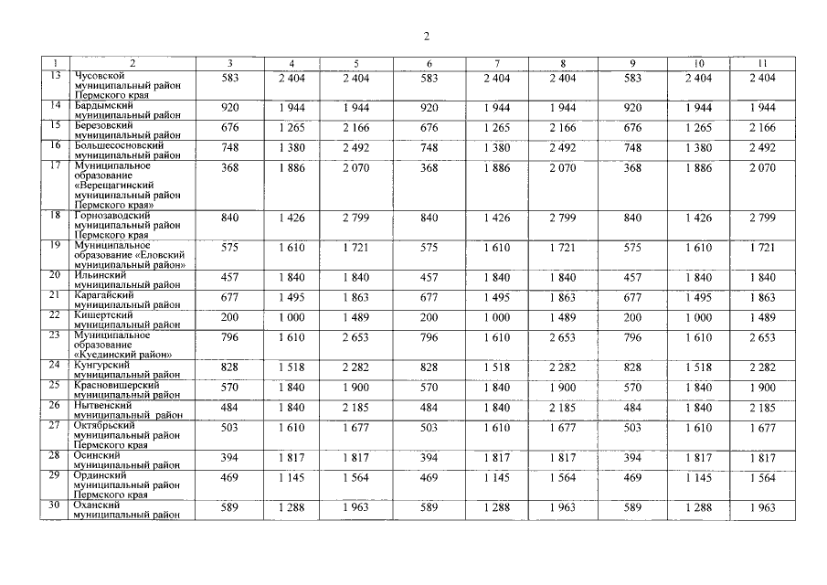
Постановление Правительства Пермского края от 18.12.2015 № 1107-п
"Об установлении максимального размера родительской платы за присмотр и уход за ребенком в муниципальных образовательных учреждениях, реализующих образовательные программы дошкольного образования, на 2015 год и плановый период 2016 года"
Номер опубликования: 5900201512230015
Дата опубликования: 23.12.2015
Страница №3 из 7:
Увеличить