Официальное опубликование правовых актов
ОФИЦИАЛЬНОЕ ОПУБЛИКОВАНИЕ
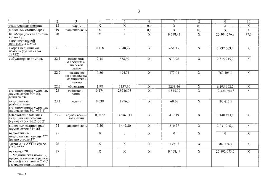
Закон Пермского края от 04.12.2015 № 572-ПК
"О внесении изменений в Закон Пермского края "О территориальной программе государственных гарантий бесплатного оказания гражданам медицинской помощи на 2015 год и на плановый период 2016 и 2017 годов"
Номер опубликования: 5900201512100002
Дата опубликования: 10.12.2015
Страница №281 из 287:
Увеличить