Официальное опубликование правовых актов
ОФИЦИАЛЬНОЕ ОПУБЛИКОВАНИЕ
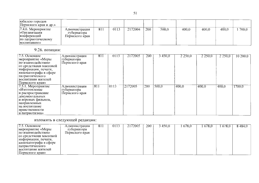
Постановление Правительства Пермского края от 09.10.2015 № 820-п
"О внесении изменений в государственную программу "Обеспечение взаимодействия общества и власти", утвержденную постановлением Правительства Пермского края от 3 октября 2013 г. № 1326-п"
Номер опубликования: 5900201510140007
Дата опубликования: 14.10.2015
Страница №52 из 62:
Увеличить