Официальное опубликование правовых актов
ОФИЦИАЛЬНОЕ ОПУБЛИКОВАНИЕ
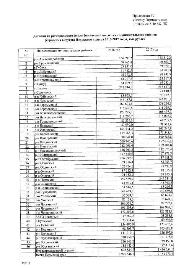
Закон Пермского края от 08.06.2015 № 482-ПК
"О внесении изменений в Закон Пермского края "О бюджете Пермского края на 2015 год и на плановый период 2016 и 2017 годов"
Номер опубликования: 5900201506150016
Дата опубликования: 15.06.2015
Страница №356 из 461:
Увеличить