Официальное опубликование правовых актов
ОФИЦИАЛЬНОЕ ОПУБЛИКОВАНИЕ
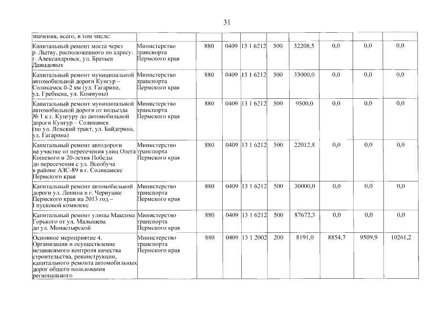
Постановление Правительства Пермского края от 21.05.2015 № 317-п
"О внесении изменений в государственную программу Пермского края "Развитие транспортной системы", утвержденную постановлением Правительства Пермского края от 3 октября 2013 г. № 1323-п"
Номер опубликования: 5900201505260001
Дата опубликования: 26.05.2015
Страница №32 из 67:
Увеличить